EdgeCollapsableMesh
Definition
The concept EdgeCollapsableMesh describes the requirements for the type of
triangulated surface mesh that can be passed to the
simplification algorithm.
The surface must be structurally equivalent to a polyhedral surface
having only triangular faces.
It can have any number of connected components, boundaries
(borders and holes) and handles (arbitrary genus).
Refines
HalfedgeGraph
Valid Expressions
The mesh simplification algorithm requires the free function collapse_triangulation_edge.
|
template<class EdgeCollapsableMesh>
|
|
typename boost::graph_traits<EdgeCollapsableMesh>::vertex_descriptor
|
|
|
| |
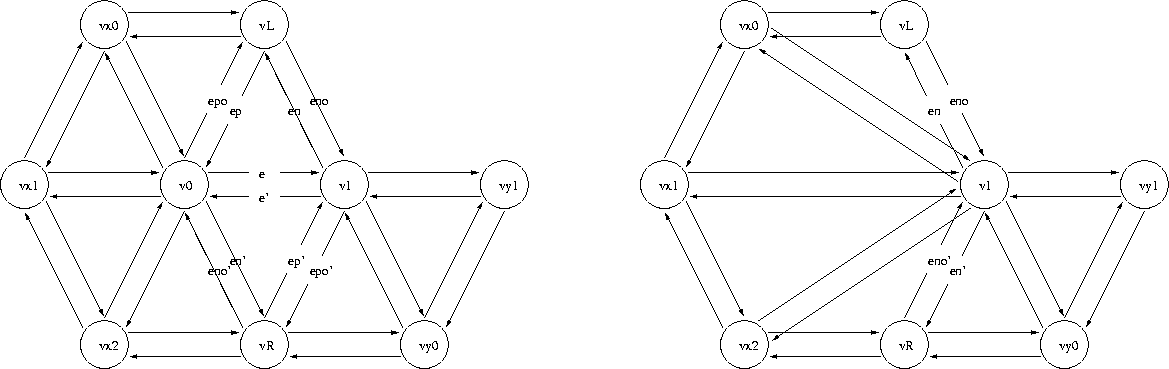
Collapses the undirected edge (v0v1,v1v0) replacing it with v0 or v1,
as described in the following paragraph.
| Precondition: | This function requires mesh to be an oriented 2-manifold with or without boundaries. Furthermore, the undirected edge (v0v1,v1v0) must satisfy the link
condition [DEGN99], which guarantees that the surface is also 2-manifold after the edge collapse. |
|
Let v0 be the source and v1 be the target vertices of v0v1.
For e ∈ { v0v1,v1v0 }, let en and ep be the next and previous
edges, that is en = next_edge(e, mesh), ep = prev_edge(e,mesh), and let
eno and epo be their opposite edges, that is
eno = opposite_edge(en, mesh) and epo = opposite_edge(ep,mesh).
Then, after the collapse of (v0v1,v1v0) the following holds:
- The edge e is no longer in mesh.
- One of {v0,v1} is no longer in mesh while the other remains.
1
Let vgone be the removed vertex and vkept be the remaining vertex.
- If e was a border edge, that is get(is_border, e, mesh) == true, then next_edge(ep) == en, and prev_edge(en) == ep.
- If e was not a border edge, that is get(is_border, e, mesh) == false, then ep and epo are no longer in mesh while en and eno are kept in mesh.
- For all edges ie in in_edges(vgone,mesh), target(ie,mesh) == vkept and source(opposite_edge(ie),mesh) == vkept.
- No other incidence information has changed in mesh.
The function returns vertex vkept (which can be either v0 or v1).
Figure 52.1: General case. The following mesh elements are removed: triangles (v0,v1,vL) and (v1,v0,vR), edges (e,e'), (ep,epo) and (ep',epo'), and vertex v0.
Figure 52.2: When the collapsing edge is not itself a border, but is incident upon a border edge that is removed, the operation is the same as in the general case.
Figure 52.3: When the collapsing edge is not itself a border, but is incident upon a border edge that is not removed, the operation is still the same as in the general case.
Figure 52.4: When the collapsing edge is itself a border, only 1 triangle is removed. Thus, even if (ep',epo') exists, it's not removed.
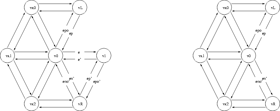
Figure 52.5: This figure illustrates the single exceptional case when removing (v0,v1) neccesarily implies removing (v1), thus (v0) remains.
Has Models
CGAL::Polyhedron_3<Traits>
(If it has only triangular faces, and via
External Adaptation, which is described in [SLL02]
and this Bgl web page: http://www.boost.org/libs/graph/doc/leda_conversion.html).
See Also
boost::graph_traits< CGAL::Polyhedron_3<Traits> >
CGAL::halfedge_graph_traits< CGAL::Polyhedron_3<Traits> >
Footnotes
|
|
|
1 |
Even though it would appear that v0 can always be the vertex being removed, there is a case when removing the edge e requires v1 to be removed as well. See figure 52.5.
|